Essen, horizontal view

Internet Project

Observing, Photographing and Evaluating the

Transit of Venus, June 8th, 2004

Essen, equatorial view

Project 4: Measuring the angular radius of the sun

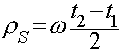
To get an own measure of the Astronomical Unit by means of the following formula for the Sun's parallax (see the related paper (in German or in English))
you need to determine, among other quantities, the angular radius ρS of the Sun.

By evaluating pictures taken during the transit of Venus (or Mercury, respectively) you get all results relative to the sun's angular radius ρS . For instance, by comparison of simultaneously taken pictures of different observers you get the relative parallax effect f. To be able to derive its absolute value Δβ you must know the angular radius of the Sun:

Δβ = f ρS

Of course, you know ρS roughly (about 15 arcminutes) and you can find its exact value - even for the day of interest. But:

We want to determine ρS by measurements of our own!

There are, at least, two simple possibilities for this measurement:

  1. In nature, you often can find round or elliptical so called "sunspots". These spots are caused by the sunlight coming through little holes, for instance between the leaves of big trees:
     
    Sunspots on the ground Light rays causing the spots on the ground

    The spots are pinhole camara pictures of the sun! Therefore, the angular radius ρS of the Sun can be determined by measuring the linear radius r of a spot and its distance d to the hole of its origin:

    ρS=arctan(r/d) ≈ r/d
  2. A more exact method make use of the movement of the projection of the Sun due to the earth's dayly rotation. When you project the Sun on a sheet of paper with a simple optical lens, a binocular or a telescope, respectively, the picture is quite sharply limited.

       
    Mounting of a binocular
    for observing and measuring the sun's movement
    The both projection of the Sun (during an eclipse) Projection with ... ... Solarscope

    Having the optical system fixed you will soon remark that the Sun's picture tends to wander over the sheet.

back to the main page


Prof. Dr. Udo Backhaus
last modification:  March 28th, 2008